Measurement of Self Inductance By Anderson's Bridge:
Anderson's Bridge, in fact, is a modification of Maxwell's inductance capacitance bridge.In Anderson's Bridge, the self inductance is measured in terms of a standard capacitor.
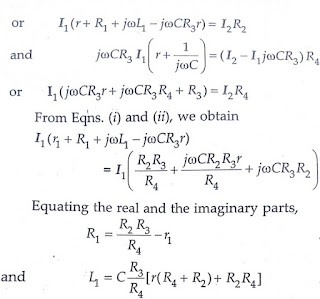
Anderson's Bridge is usefully applicable for precise measurement of self inductance over a very wide range of values.The below figure shows the connections and the phasor diagram of the bridge for balanced conditions.
Anderson's Bridge is usefully applicable for precise measurement of self inductance over a very wide range of values.The below figure shows the connections and the phasor diagram of the bridge for balanced conditions.
Let L1 = self-inductance to be measured,
R1 = resistance of self-inductor,
r = resistance connected in series with self-inductor,
r, R2, R3, R4 = known non-inductive resistances, and
C = fixed standard capacitor
An examination of balance equations reveals that to obtain easy convergence of balance, alternate adjustments of r1 and r should be done as they appear in only one of the two balance equations.
Advantages of Anderson's Bridge:
1. In case adjustments are carried out by manipulating control over r1 and r, they become independent of each other.This is a marked superiority over sliding balance conditions met with low Q coils when measuring with Maxwell's bridge. A study of convergence conditions would reveal that it is much easier to obtain balance in the case of Anderson's bridge than in Maxwell's bridge for low Q-coils.
2. A fixed capacitor can be used instead of a variable capacitor as in the case of Maxwell's bridge.
3. Anderson's Bridge may be used for accurate determination of capacitance in terms of inductance.
Disadvantages of Anderson's Bridge :
1. The Anderson's bridge is more complex than its prototype Maxwell's bridge. The Anderson's bridge has more parts and is more complicated to set up and manipulate.The balance equations are not simple and in fact are much more tedious.
2. An additional junction point increases the difficulty of shielding the bridge.
Conclusion:
In this, we have learnt measurement of self inductance by Anderson's bridge.You can download this article as pdf, ppt.
Share and comment what you feel!
Share and comment what you feel!


